Education:
2006-2010 B.S., School of Physics, Shandong University
2010-2015 Ph.D, College of Chemistry and Molecular Engineering, Peking University
Employment:
2016-2017 Postdoc, Hong Kong Baptist University (Adviser: Michel. A. Van Hove)
2018-2020 Postdoc, Duke University (Adviser: Volker Blum)
2021- Associate Professor (Principal Investigator), School of Physics, Beihang University
We are an electronic structure theory research lab within the School of Physics at Beihang University (BUAA), Beijing. Our group focuses on electronic structure theory and computational materials science, with an emphasis on fundamental method development, high-performance code implementation, and data-driven materials discovery.
Current Research Directions:
1. Density Functional Theory (DFT) Methods for Relativistic Effects and Strong Correlations in Extended Systems.
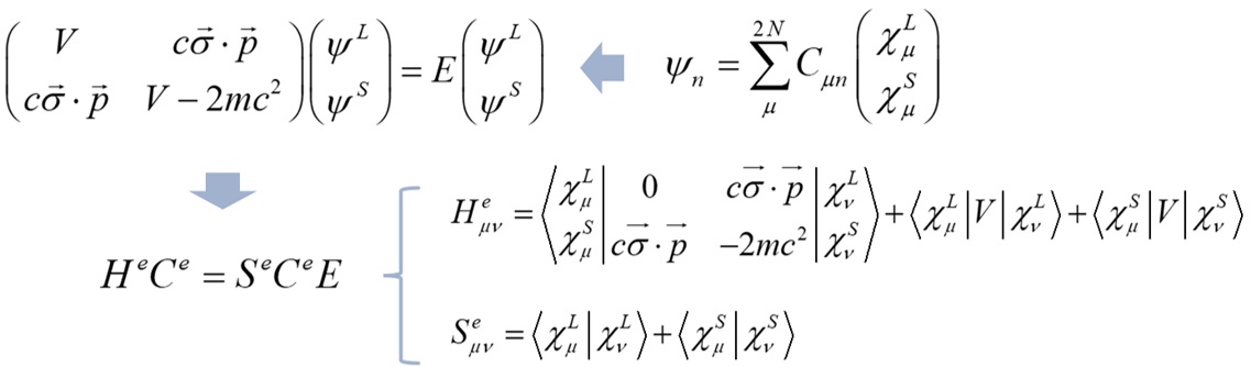
Materials containing heavy elements exhibit numerous novel properties, placing them at the forefront of physics and chemistry. Compared to light elements, heavy atoms in the lower rows of the periodic table have much more complex electronic structures, leading to a long-standing challenge for ab initio calculations. This complexity often arises from two aspects: (i) relativistic effects, which conceptually include scalar relativistic (SR) effects and spin-orbit coupling (SOC) contributions; (ii) strong correlation effects, usually associated with the electron localization of unfilled d/f shells of transition metals and lanthanides/actinides.
In previous studies, we have developed a quasi-four-component (Q4C) relativistic band theory for extended systems (with hundreds of atoms in a unit cell). This approach enables accurate fully-relativistic all-electron calculations for electronic structures with much cheaper computational costs. Building on this framework, our group is currently working on: (i) fully-relativistic DFT+U methods to capture the interplay between electron correlation and relativistic effects; (ii) non-collinear Q4C formalism, aiming to treat materials with open-shell electrons and magnetic properties.

2. Large-Scale DFT Code Development.
We are active and core developers of the FHI-aims electronic structure code package, which is an all-electron full-potential DFT code designed for large-scale parallel calculations. The ongoing in-house developments will be implemented under the framework of FHI-aims, adopting numeric atomical orbitals (NAO) as basis sets. Collaboration with the Volker Blum group is focusing on the large-scale parallel computation of Q4C and the fully-relativistic geometry optimization functionality.
3. AI for Electronic Structure and Materials Modeling.
We explore the integration of AI models with electronic structure theory to accelerate simulations and enable predictive materials design. The current efforts span two subfields:
(i) AI-accelerated electronic structure methods. Ongoing efforts include the development of machine learning (ML) NAO basis functions and graph neural network (GNN) models for electron density prediction. These methods aim to significantly reduce the computational cost of electronic structure calculations at the self-consistent field (SCF) level while maintaining physical fidelity.
(ii) ML for materials property prediction and screening. We have developed interpretable ML models for predicting elastic and mechanical properties of inorganic materials, particularly ceramics and amorphous systems. Recent works combine stacked ensemble learning, symbolic regression, and deep neural networks, achieving high accuracy with physically meaningful descriptors. Applications include rare-earth-doped silicate ceramics, and high-throughput screening of mechanical materials. We also explore the use of convolutional neural networks (CNNs) trained on large datasets to uncover how structural features, such as bond lengths and angles, influence the spin-orbit splitting magnitude of frontier bands in 2D systems.

4. Computational Chemistry and Materials Sciences
We apply our theoretical frameworks and software tools to investigate a broad range of functionally interesting materials, such as: rare-earth and actinide compounds, hybrid organic-inorganic perovskites (HOIPs), π-electron systems, structural ceramics and amorphous materials.

Openings
We typically recruit 1-2 undergraduate researchers, 1-2 Mphil students (with intent to pursue PhD), and 1-2 PhD students per year.
Please note that there are no openings for CSC international students at the Master's degree level. Therefore, all inquiries will not receive a response—apologies!
For postdoc or visiting scholar positions, please contact the PI for more details. We welcome postdocs with backgrounds in either ① first-principles code development (FORTRAN and MPI skills required) or ② AI for electronic structure methods. The salary starts at 350,000 CNY/Y (~50,000 USD/Y) and can reach as high as 700,000 CNY/Y (~100,000 USD/Y) based on experience, with all insurances covered by the institution.
Contact: rdzhao@cqjj8.com
Group Members:
Han Wang (PhD student, 2023-)
Yanmiao Han (PhD student, 2024-)
Zheng Pan (MPhil&PhD student, 2022-)
Wenhao Li (MPhil&PhD student, 2022-)
Xinyi Tan (MPhil&PhD student, 2023-)
Zhaoyang Zhang (MPhil&PhD student, 2024-; undergraduate 2020-2024)
Huanhuan Cao (MPhil&PhD student, 2024-)
Deyang Liang (MPhil student, 2025-; undergraduate 2021-2025)
Lishi Zheng (undergraduate 2023)
Zhenxu Luo (undergraduate 2023)
Luokuan Feng (undergraduate 2023)
Xinyan Dai (undergraduate 2024)
Wentao Wang (undergraduate 2024)
Yunxiang Guo (undergraduate 2024)
Alumni: Jiaqi Lu (undergraduate 2018), Peilei Zuo (undergraduate 2021), Shengri Liu (undergraduate 2021), Siyuan Zhang (undergraduate 2022)

Group Website (temporary...)
Associate Professor
Supervisor of Doctorate Candidates
Date of Employment:2020-12-03
School/Department:School of Physics
Business Address:C734, Beihang University (Shahe Campus), Beijing 102206, China
Gender:Male
Degree:Doctoral Degree in Science
Academic Titles:Associate Professor
Alma Mater:Peking University
The Last Update Time : ..